Login
Register
Search
Lifetime membership is only
10$
instead of
99$
left until the end of the campaign.
(one time fee, no hidden charges.)
All Dwg
>
Projects
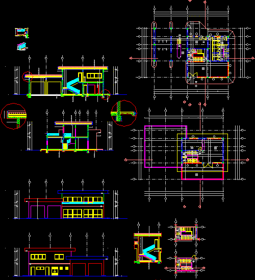
> Service station fuel maintenance
VIP
Fully editable dwg, you can change all the drawings in the project together with everything else.
This dwg file is compatible with all versions of Autocad program.