All Dwg
>
Projects
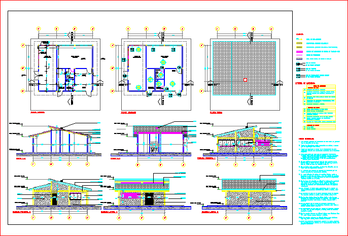
> Utility building-the-wall roof light
Fully editable dwg, you can change all the drawings in the project together with everything else.
Water pumps electrical equipment storage a multiuse room and a structure that is intended for an auxiliary office for the housing project

This dwg file is compatible with all versions of Autocad program.