Lifetime membership is only 10$ instead of 99$
left until the end of the campaign.
(one time fee, no hidden charges.)

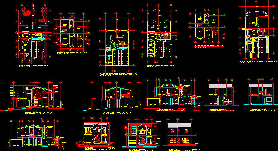
All Dwg > Projects > Housing a family, jungle-style two-level townhouse

Fully editable dwg, you can change all the drawings in the project together with everything else.

Very complete plans, townhouse set on two levels. Architectural drawings, electrical, plumbing, finishes, Heights and parts them with symbols and information boxes are also notes on the materials to be used, respectively.


This dwg file is compatible with all versions of Autocad program.