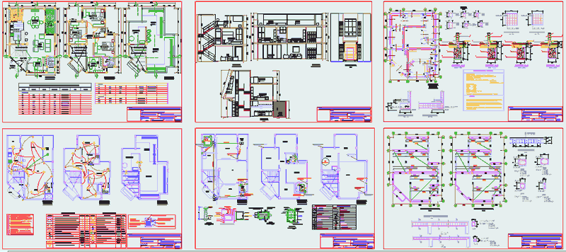
Fully editable dwg, you can change all the drawings in the project together with everything else.
Design typology, specific building area use. Full development project, technical drawings, installation, construction and public works with details.

This dwg file is compatible with all versions of Autocad program.