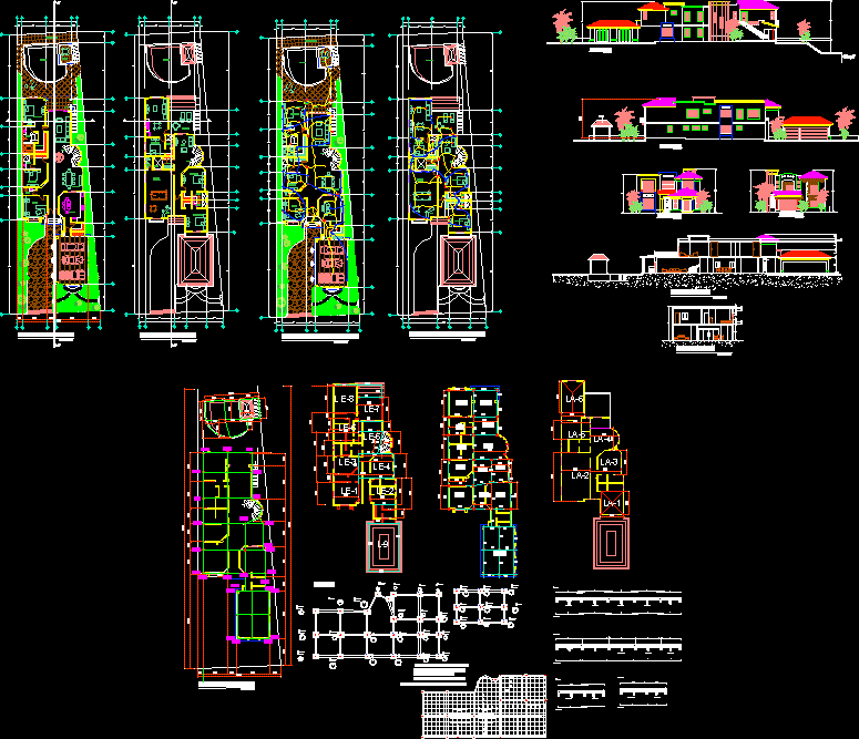
Fully editable dwg, you can change all the drawings in the project together with everything else.
TWO STOREY RESIDENTIAL HOUSING, ELECTRICITY CUTTING PLAN, DRAINAGE PLANS, STRUCTURAL DETAILS AND CONSTRUCTION INCLUDES

This dwg file is compatible with all versions of Autocad program.