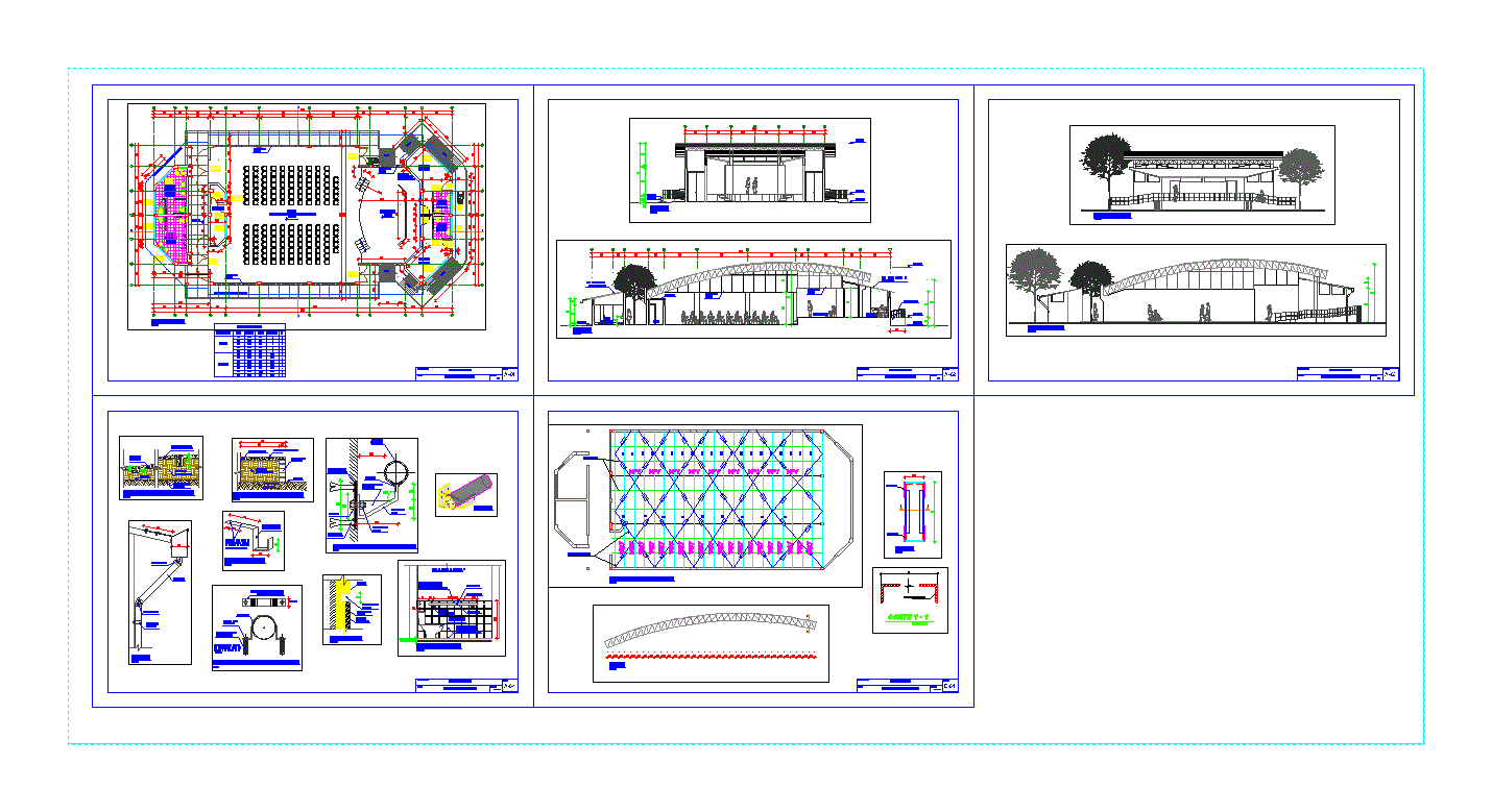
Fully editable dwg, you can change all the drawings in the project together with everything else.
Seating capacity 150 people, architectural drawings (plans, sections, elevations and details) and coverage structure auditorium

This dwg file is compatible with all versions of Autocad program.