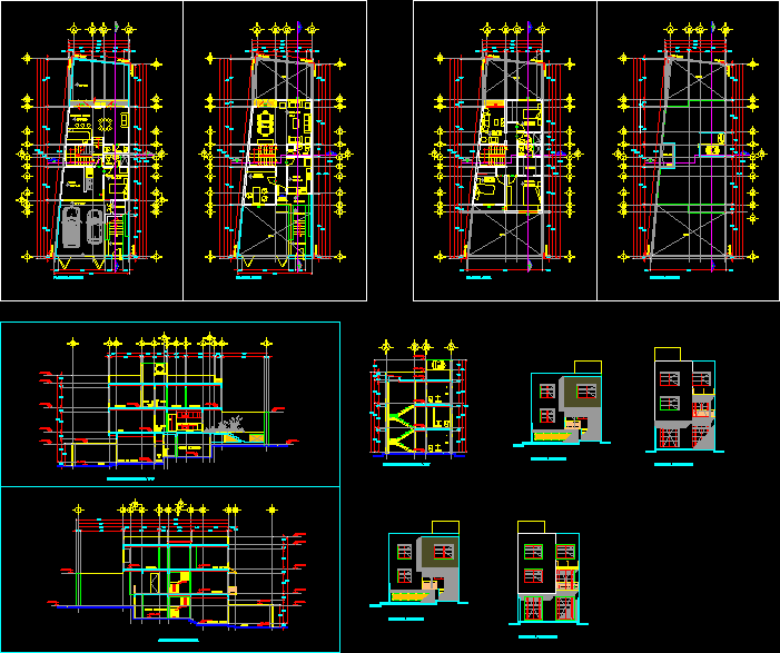
Residence, Homer and Aristotle high economic level, architectural features, sections and front garden on two levels is located on the campus, and Park. the use of the uniform field distribution was designed as a field?? 282.08 140.20 m2 of surface m2 of f
